6月28日-7月4日
广东高考生们进入志愿填报时间
站在人生的十字路口
如何才能pick到自己的心仪学校?
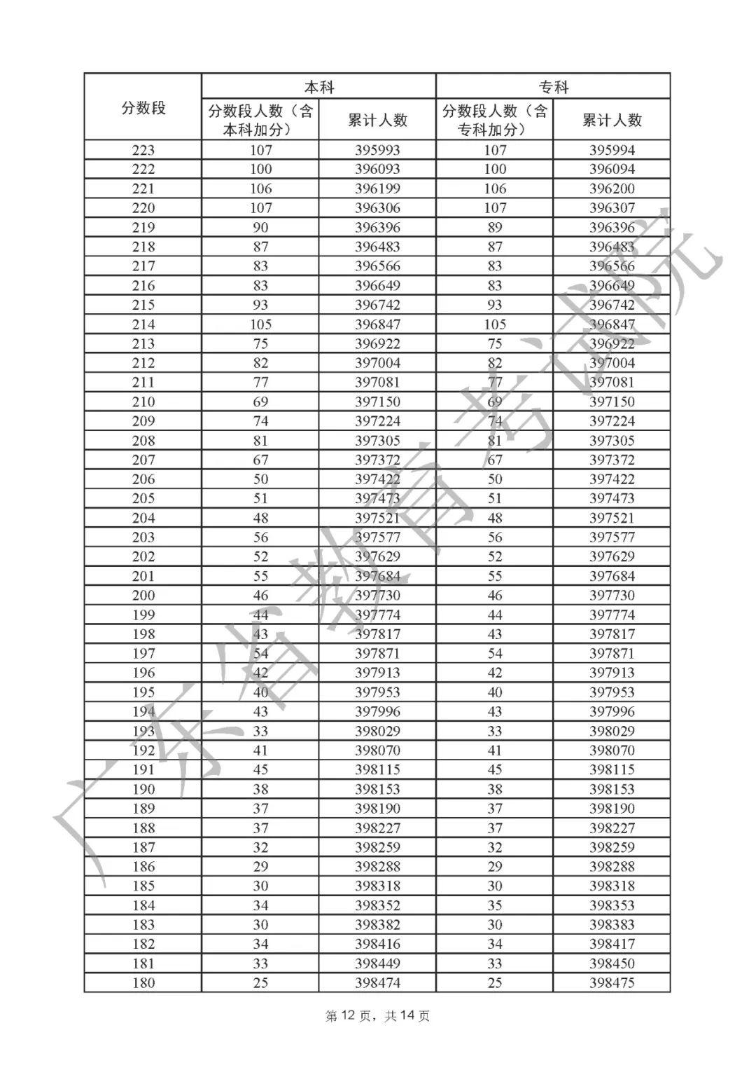
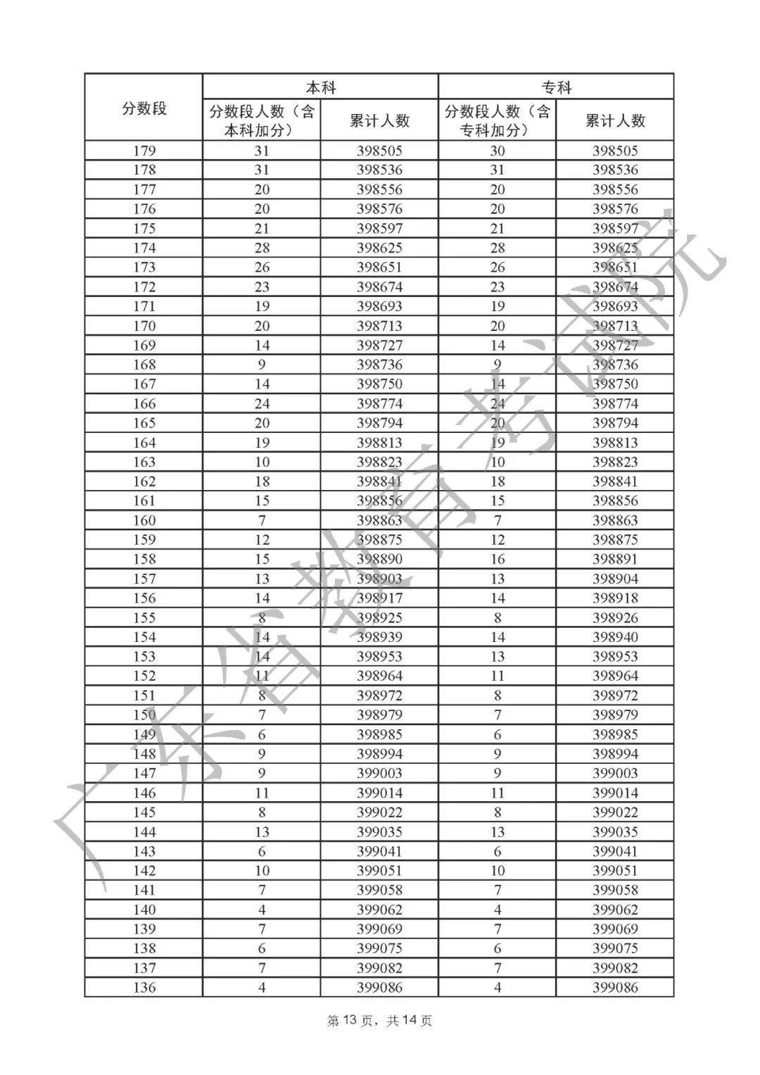
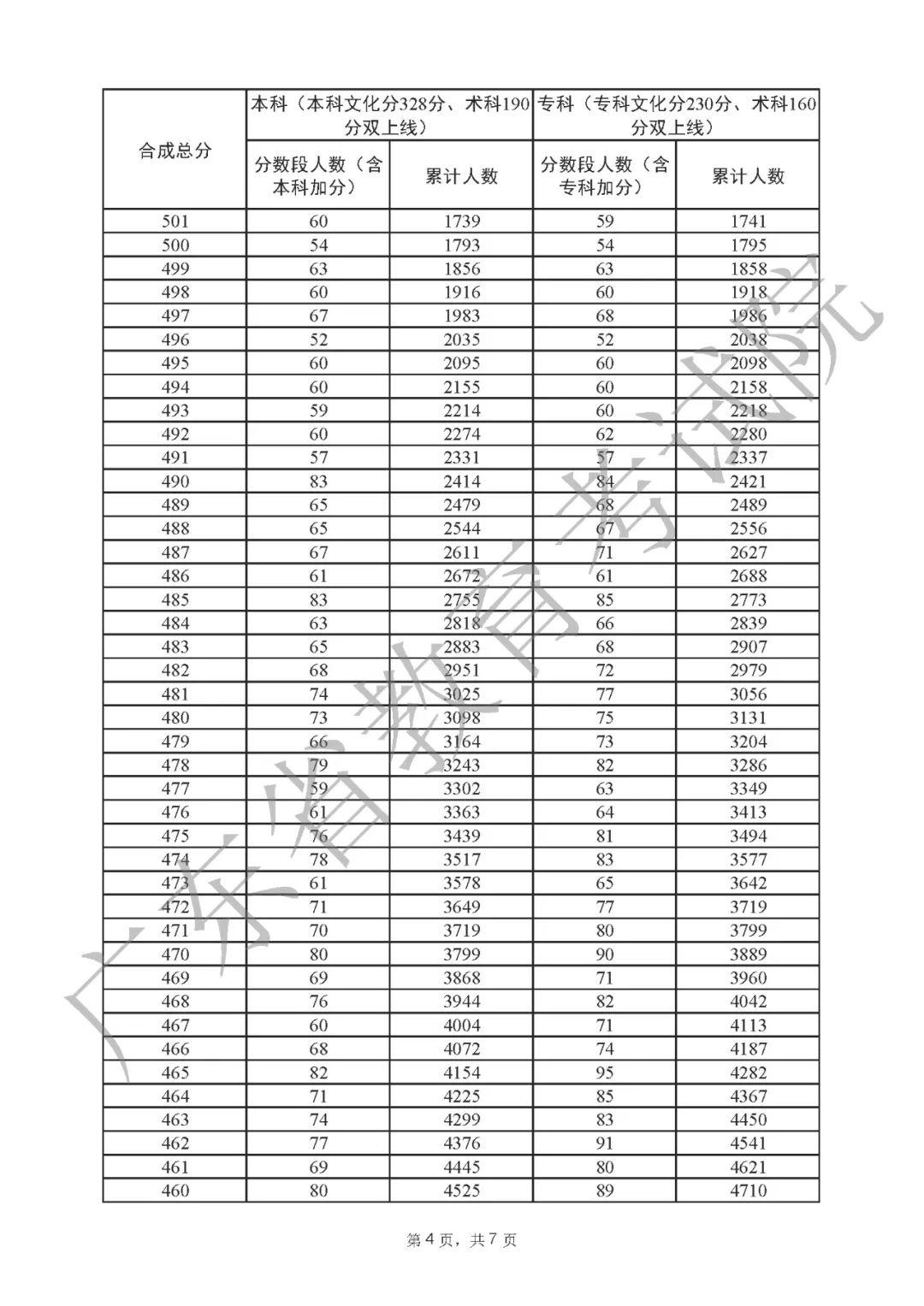
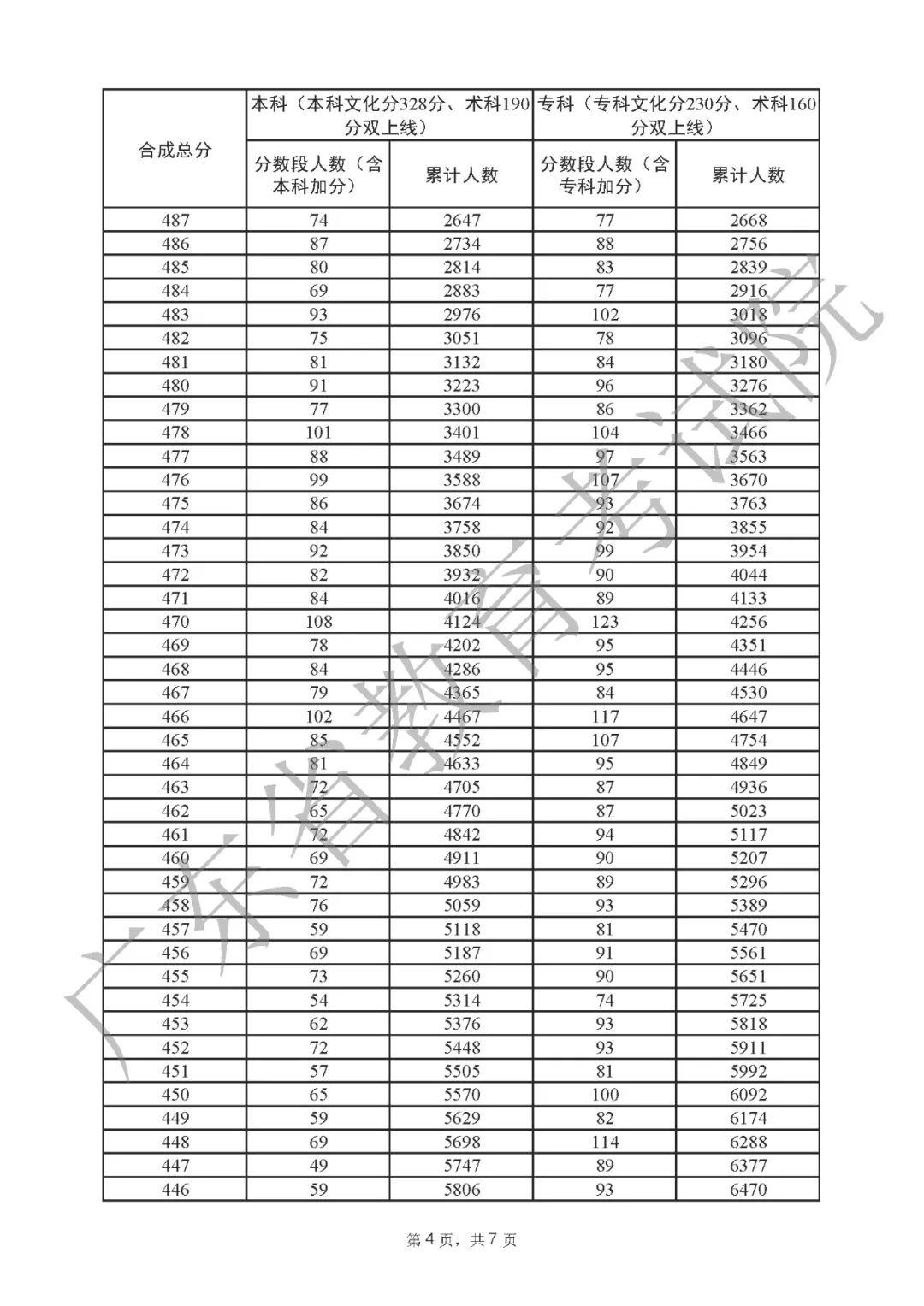
广东省教育考试院最新发布
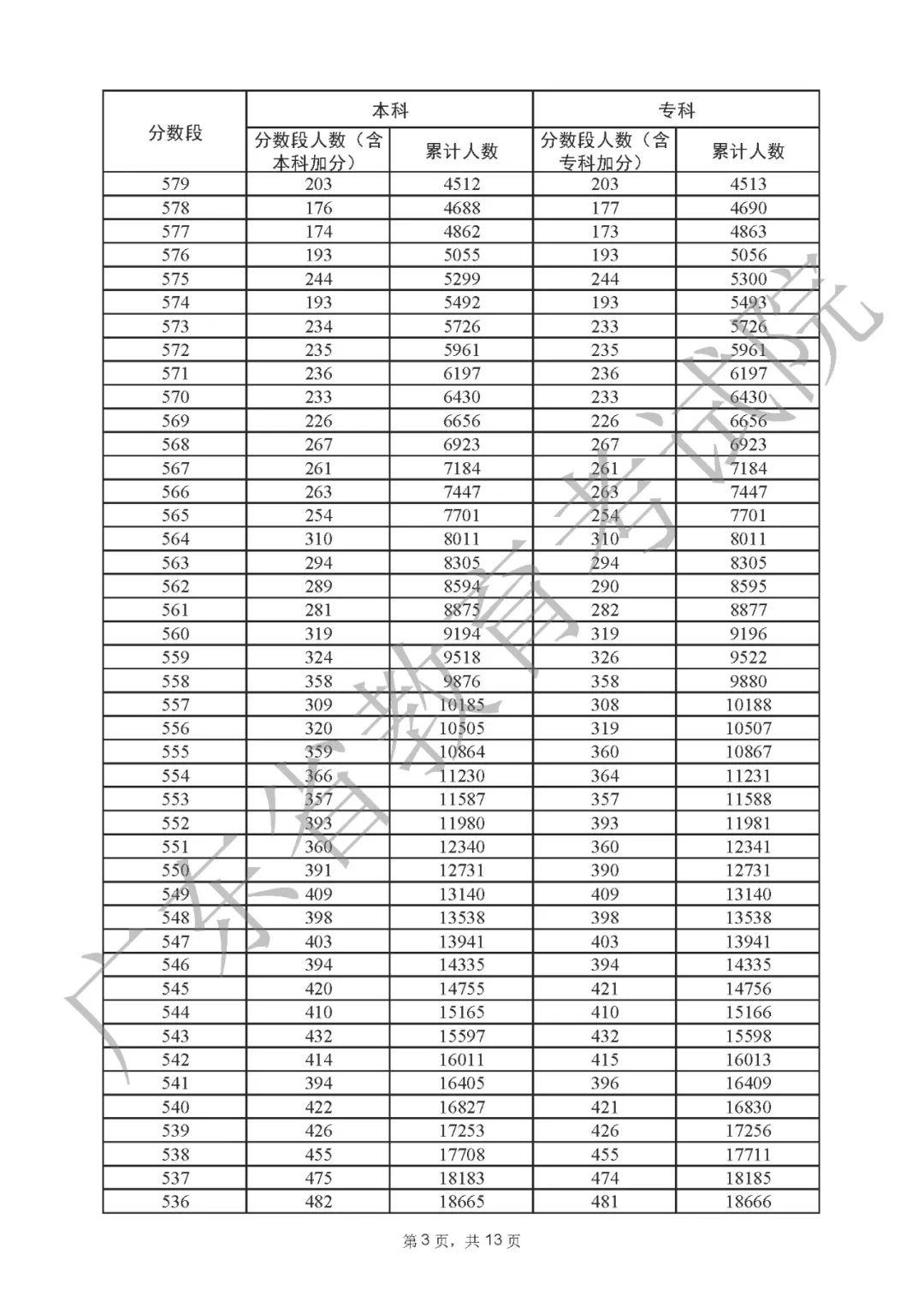
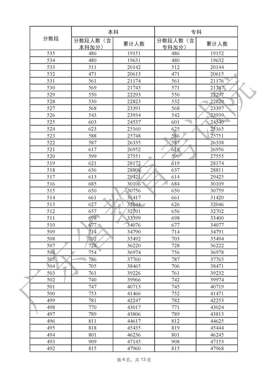
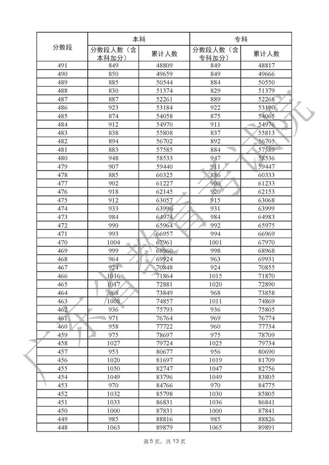
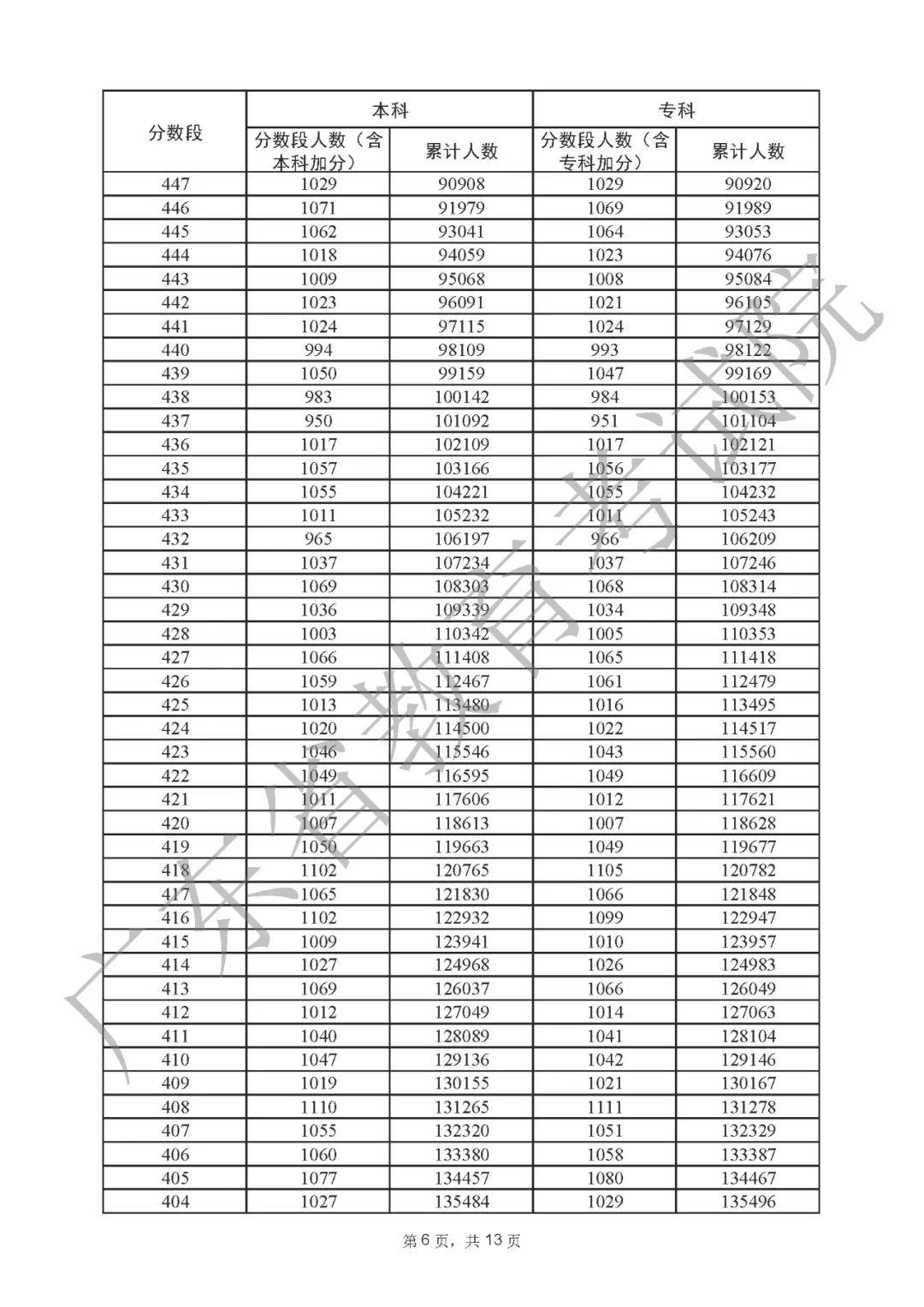
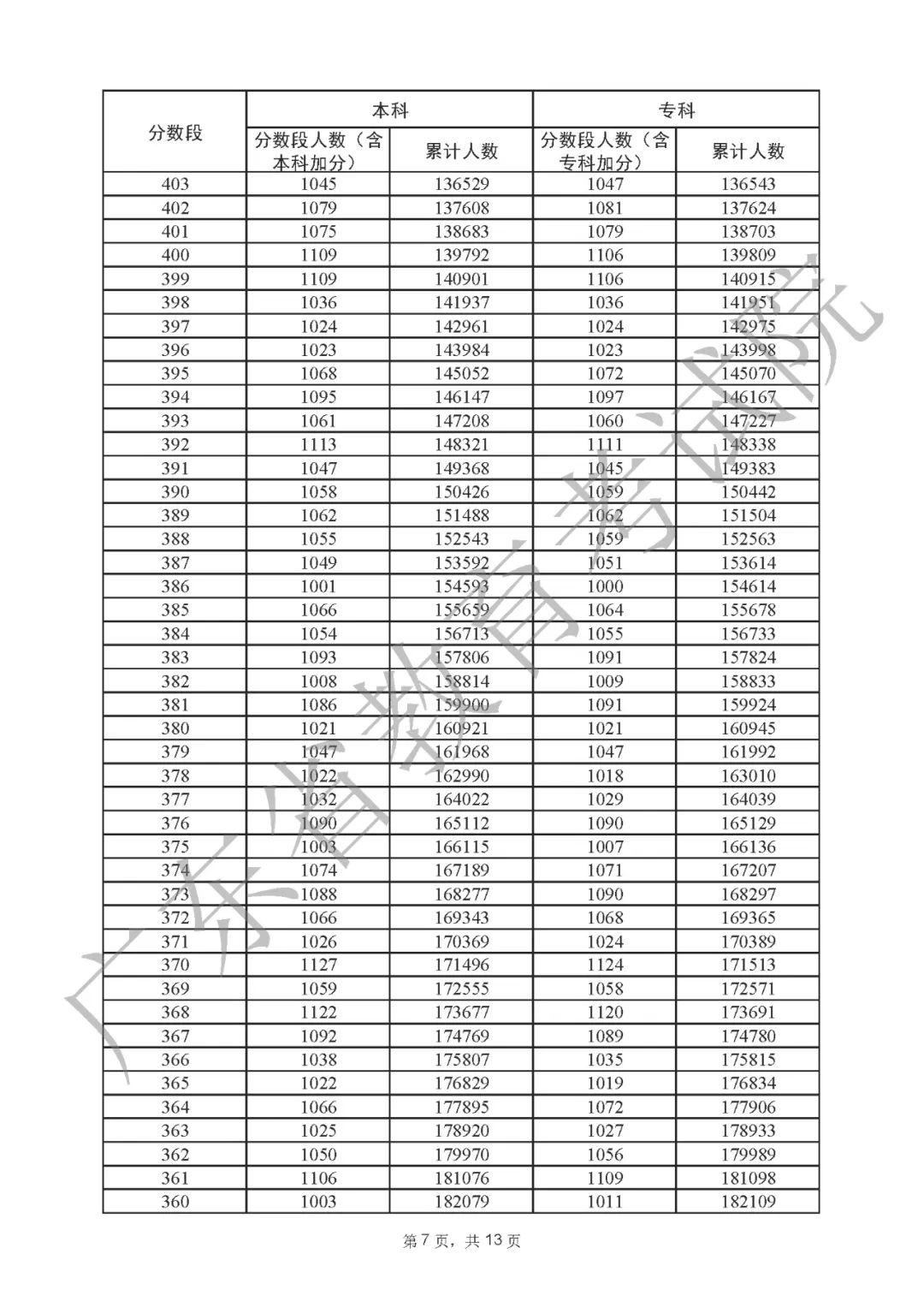
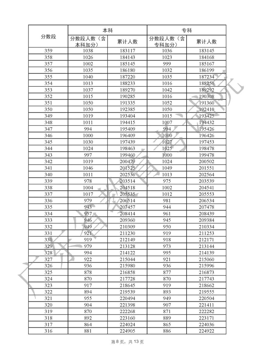
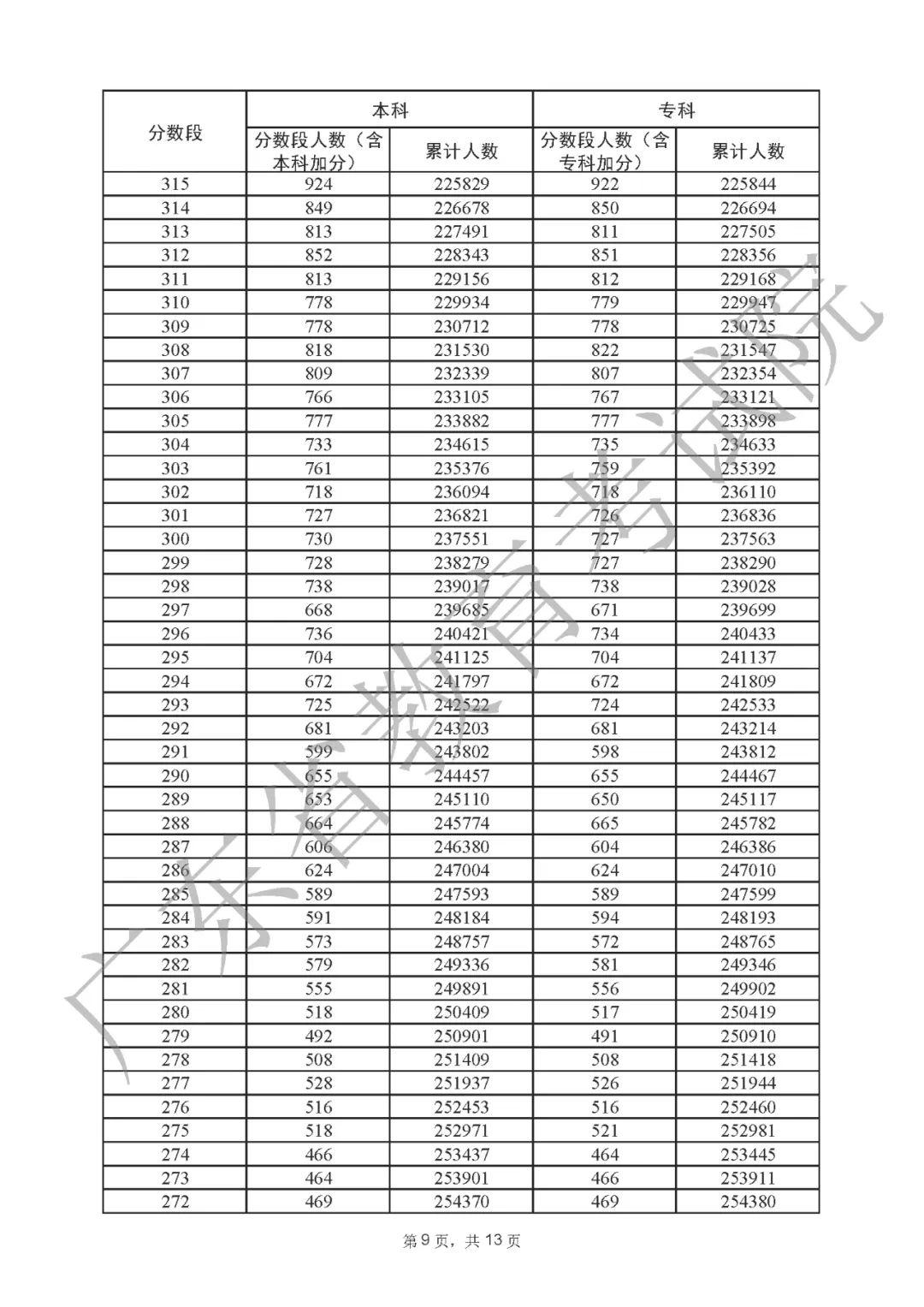
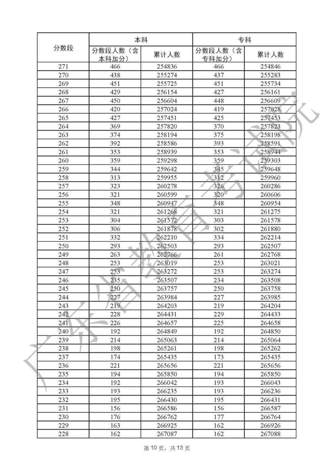
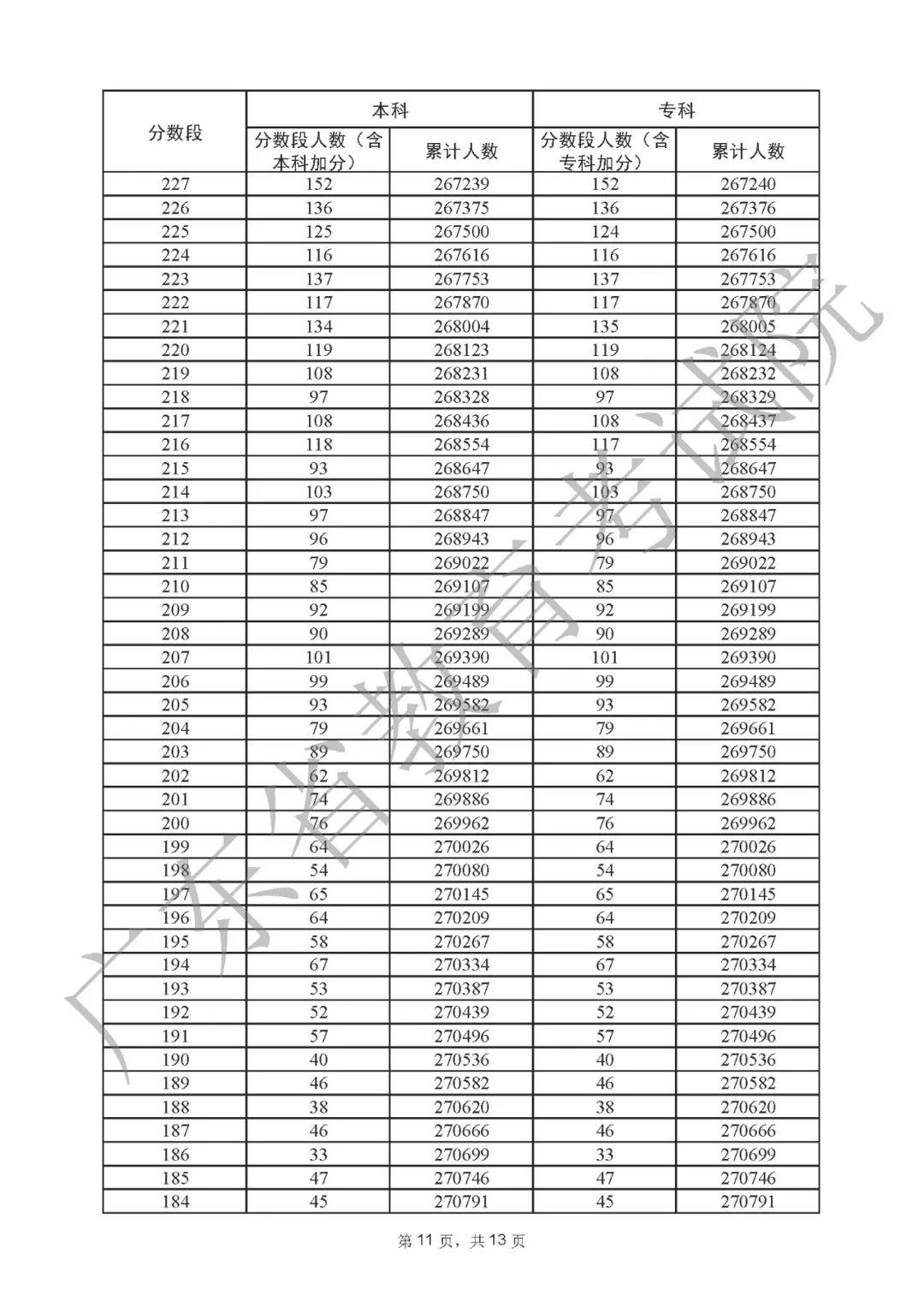
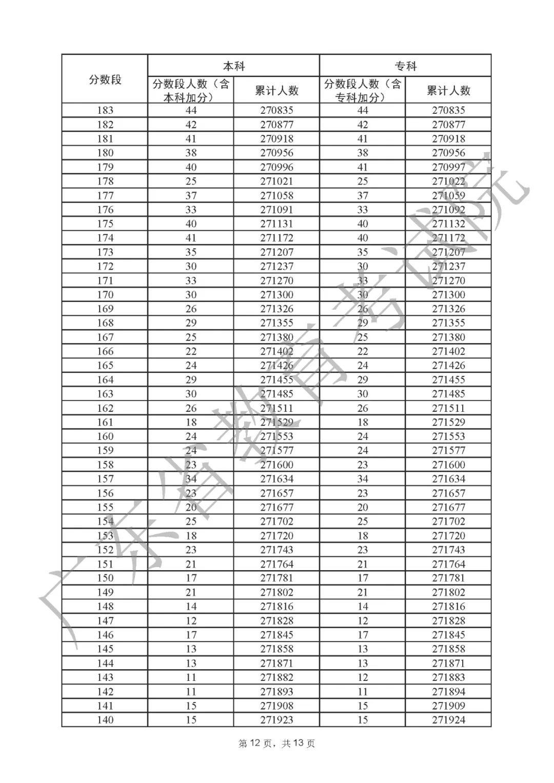
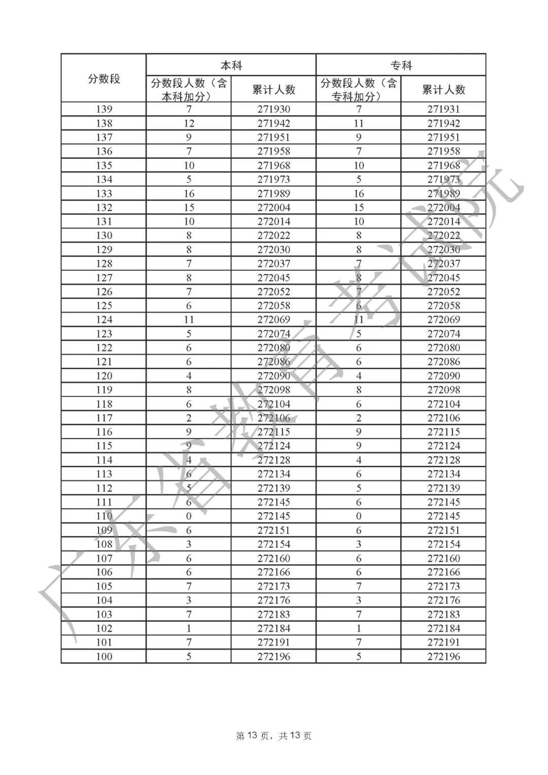
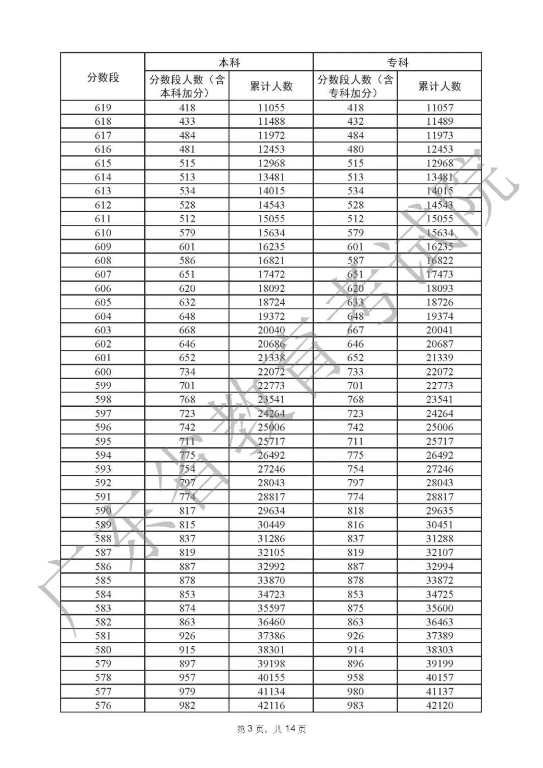
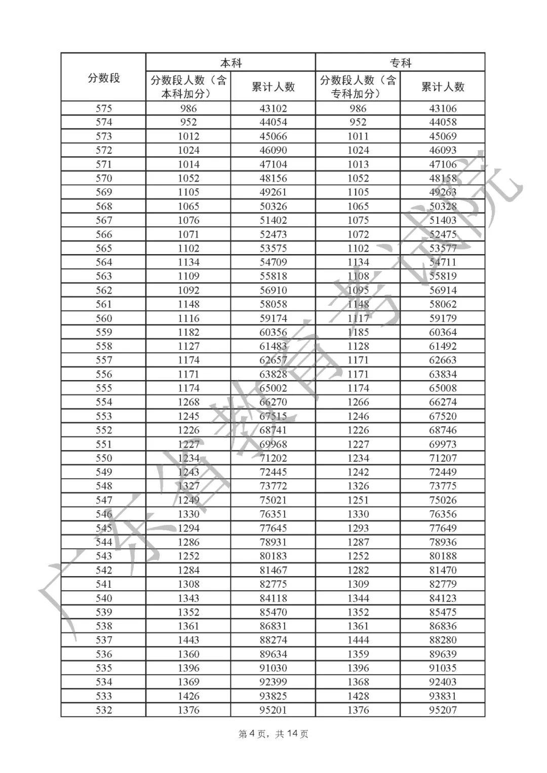
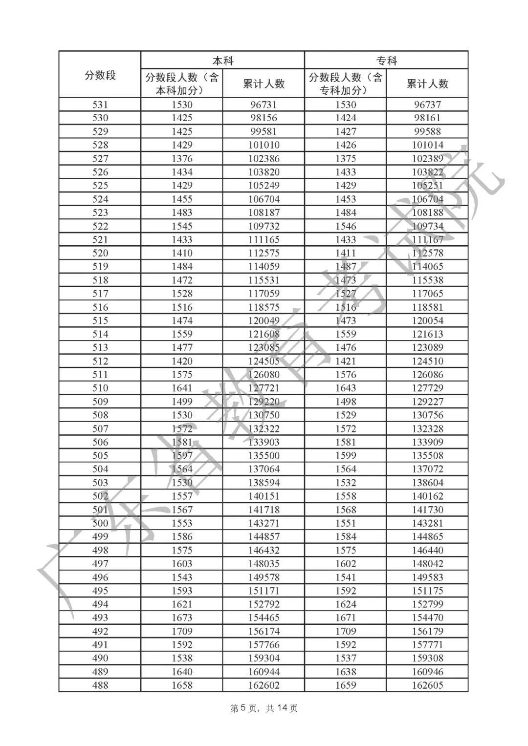
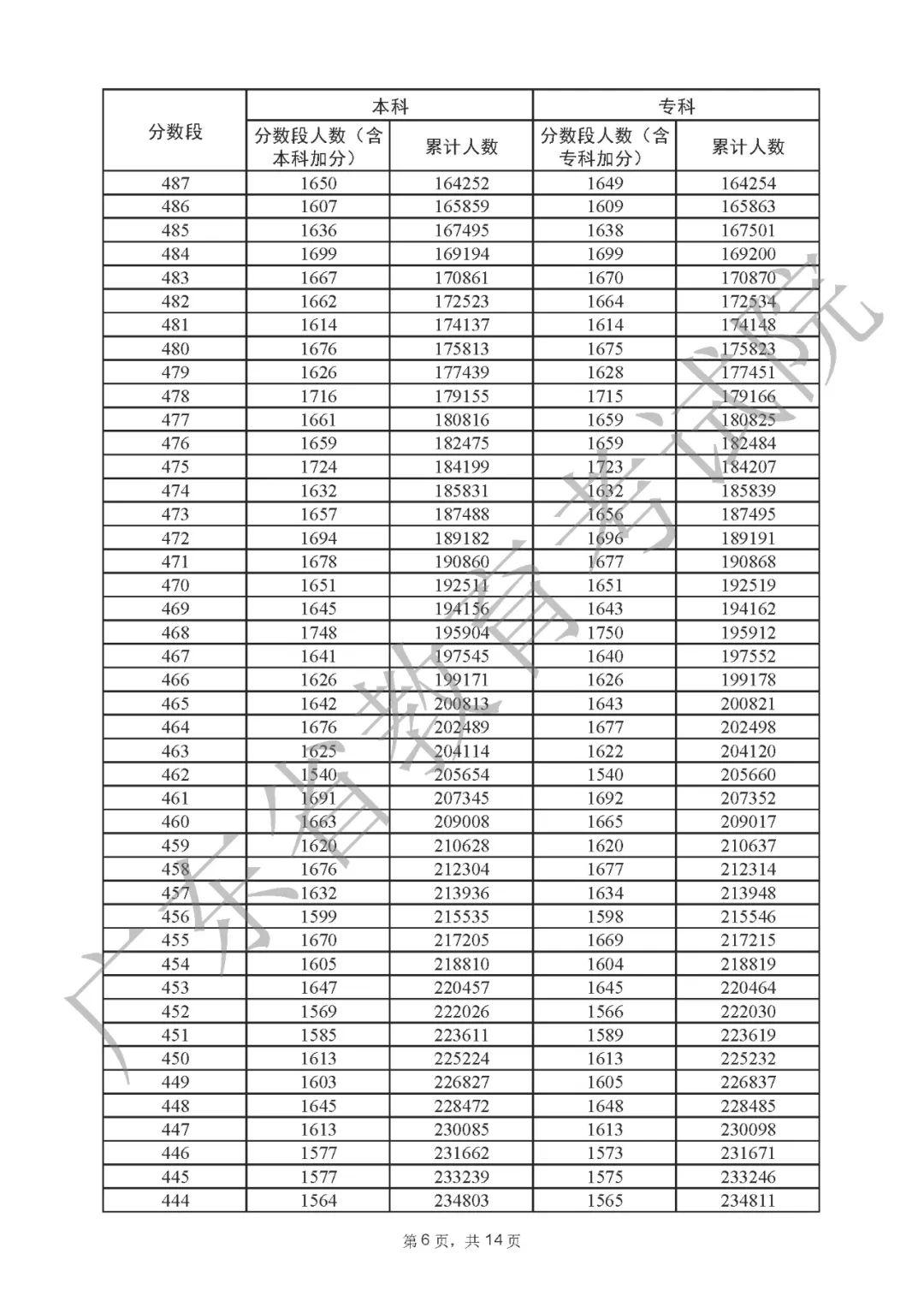
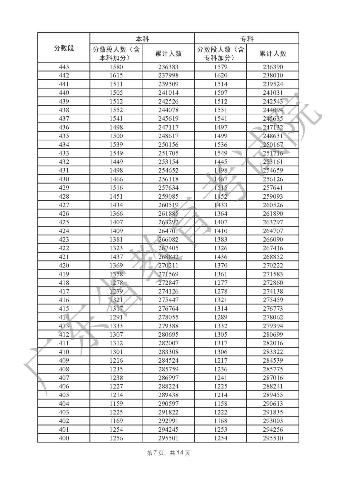
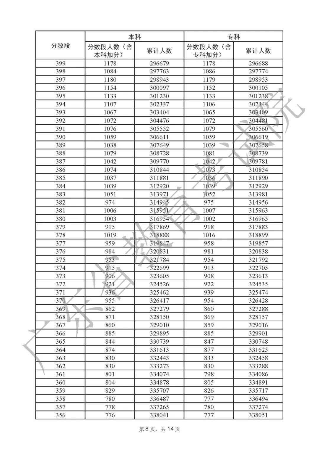
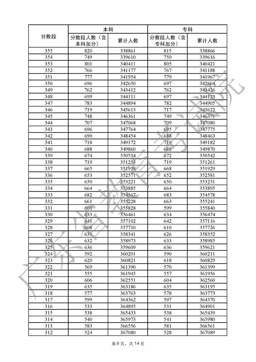
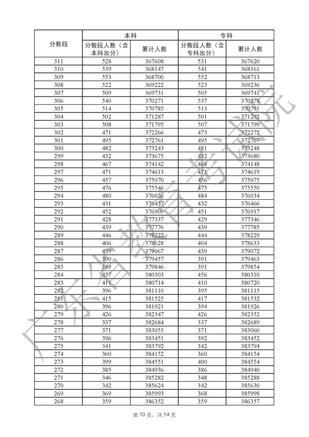
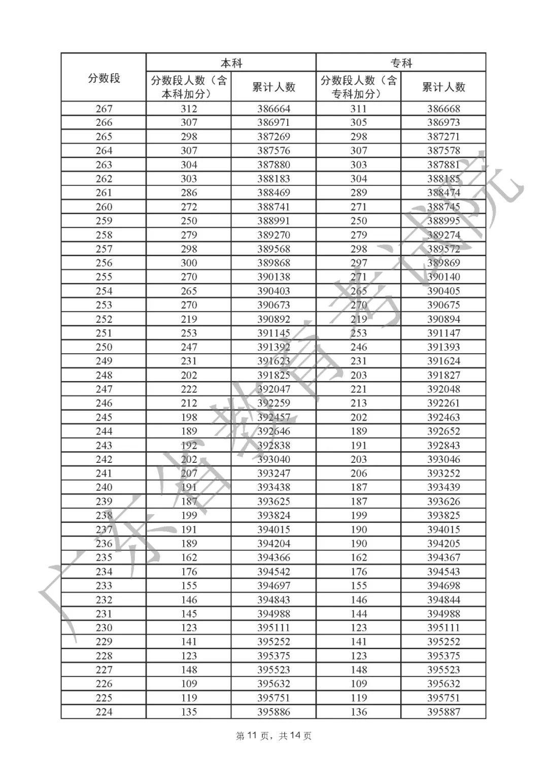
2022年广东高考“一分一段表”
各科类各分数段人数一目了然
快快收藏这份志愿填报“宝典”
知己知彼,找准位置
向“梦校”出发!

扫描上方二维码查阅附件
记者梳理发现,今年普通类(历史)和普通类(物理)上线人数共334331人,两者比去年均有所增加,一共增加16442人;不过,600分及以上高分段考生人数则有所降低。
从数据来看——
选考历史科的考生272196人,有5人660分以上,638分以上有104人,608分以上有1053人;370分的考生最多,共1127人。
选考物理科的考生共399216人,有6人700分以上,682分以上有109人,660分以上有1022人;475分的考生最多,共1724人。
快来看看,你排位怎样?
前面有多少人?
01
普通类(历史)













(上下滑动查看详情,点击图片查看大图)
02
普通类(物理)














(上下滑动查看详情,点击图片查看大图)
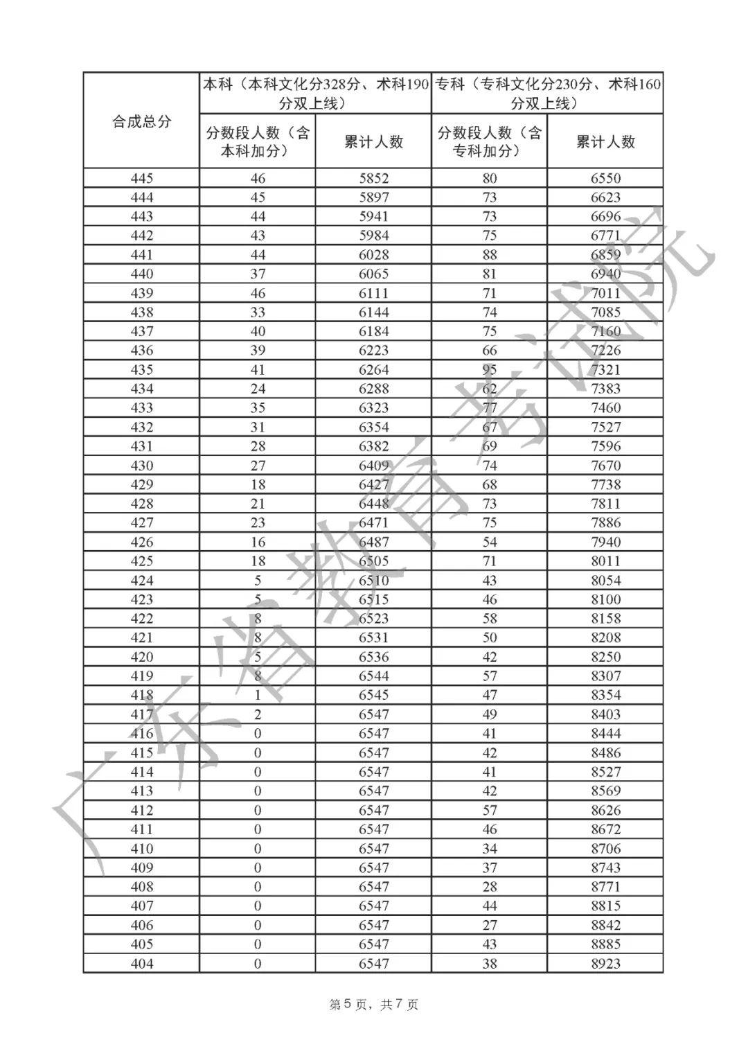
03
广播电视编导类






(上下滑动查看详情,点击图片查看大图)
04
书法类





(上下滑动查看详情,点击图片查看大图)
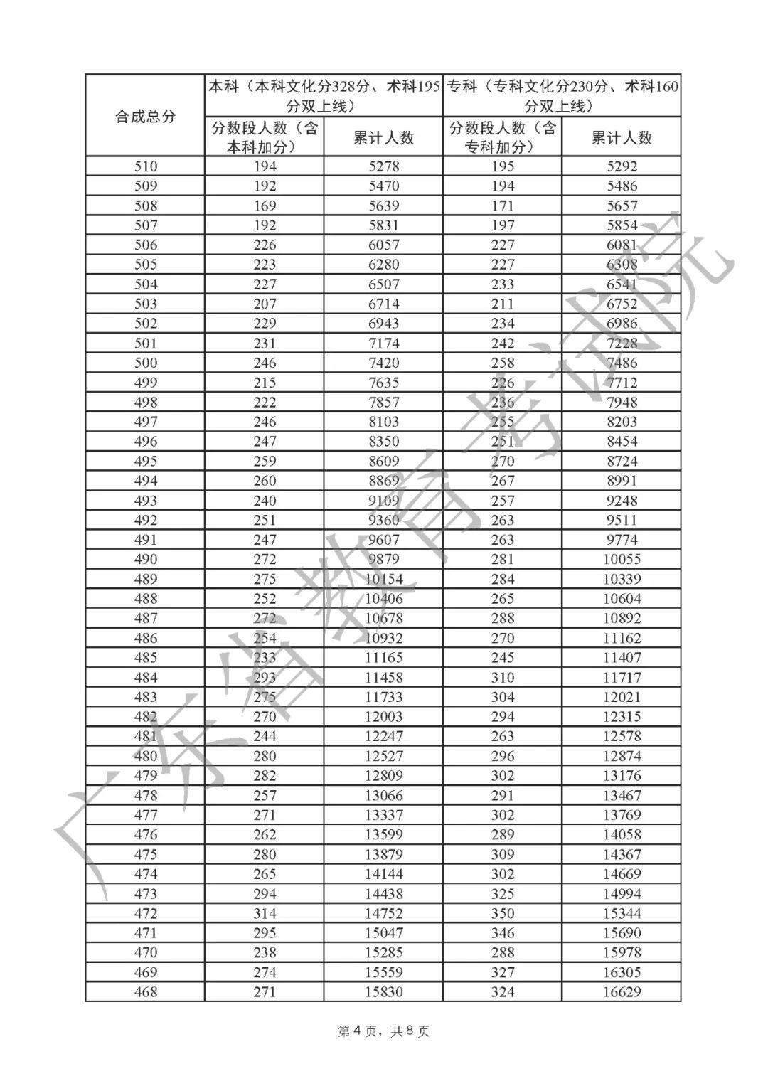
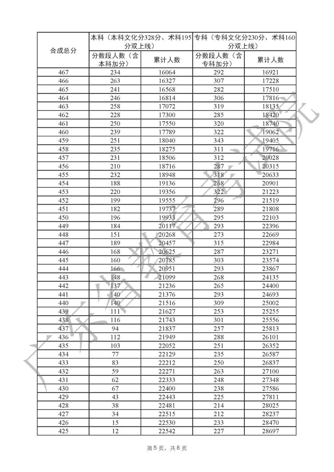
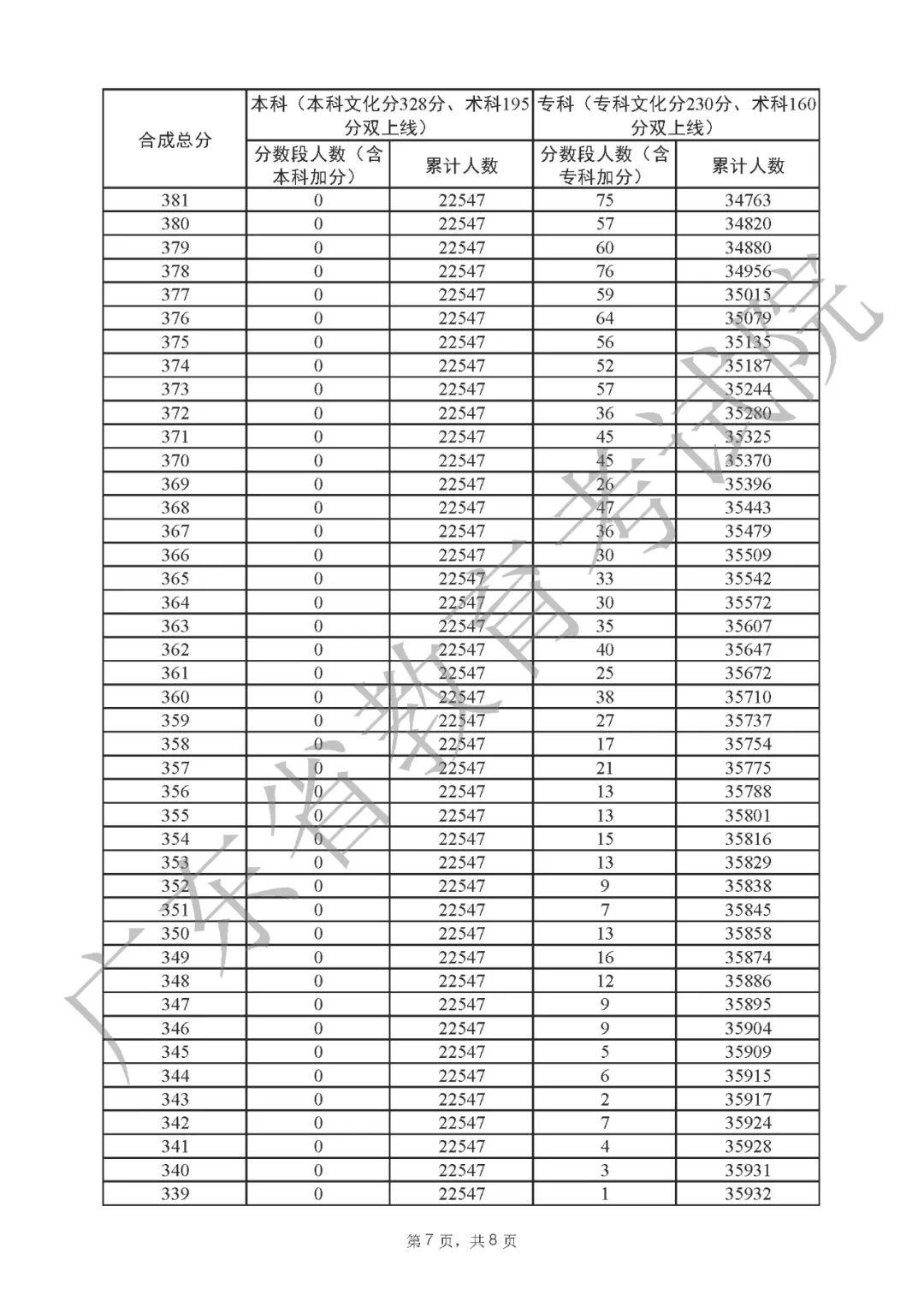
05
体育类






(上下滑动查看详情,点击图片查看大图)
06
舞蹈类







(上下滑动查看详情,点击图片查看大图)
07
音乐学类







(上下滑动查看详情,点击图片查看大图)
08
音乐表演-声乐类







(上下滑动查看详情,点击图片查看大图)
09
音乐表演-器乐类








(上下滑动查看详情,点击图片查看大图)
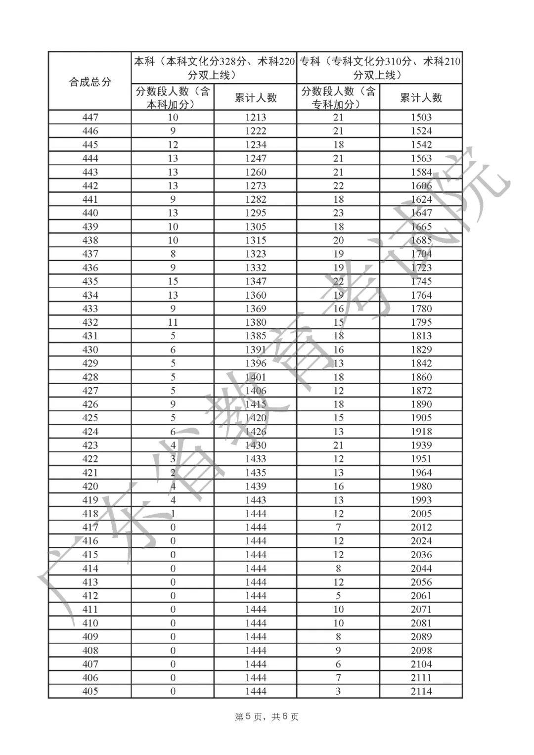
10
美术类








(上下滑动查看详情,点击图片查看大图)
11
播音与主持普语类






(上下滑动查看详情,点击图片查看大图)
12
播音与主持粤语类





祝所有考生
金榜题名、如愿以偿!
进入理想的大学~
来源:蛇口消息报
综合整理自广东省教育考试院、南方日报